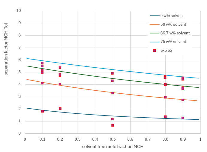
This strategy is an extension of the measurements used for entrainer evaluation. Instead of evaluating the entrainer effect on only one mixture composition, the separation factor between the volatile components is measured in the whole relevant concentration region for the extraction column:

The following plots show our experimental results for 3 different temperatures (45, 55 and 65 Deg C) together with the prediction from binary NRTL parameters



